The Origins of the Contraceptive Pill
From Wild Yam to the contraceptive pill
Dioscorea villosa as a source material for the oral contraceptive pill.
Introduction
Dioscorea villosa L. is a tuber producing vine of the family Dioscoraceae, known commonly as wild yam, it grows in warm, temperate climates, in wet environments, native to Central and Eastern America (Fisher, 2018; RBGK, 2019; RBGK, 2024). Wild yam, grows up to 5m in length, leaves are ovate, pointed and ribbed, arranged alternatively, inflorescence consists of small yellow/green flowers arranged in racemes for female plant and panicles for male plants (Fisher, 2018). Traditionally used medicinally in the treatment of flatulence and gastrointestinal issues, it was also used as an antispasmodic, particularly for dysmenorrhea and remains in use as a uterine antispasmodic by herbalists, despite limited clinical research to support this use (Romm, 2018; Thomsen, 2022). An important food and source of carbohydrates for indigenous peoples through to today, in 1943 the constituent diosgenin was discovered in mexican yams (Dioscorea mexicana L.) and processed into progesterone via Marker degradation, leading to the development of the contraceptive pill (Heinrich, et al., 2004; RBGK, 2019). Initially mexican yam was used as a diosgenin source for the production of the contraceptive pill and other steroid hormone-based drugs but due to sustainability issues, alternative sources were found from other Dioscorea species, including villosa (Fisher, 2018; RBGK, 2019).
The primary constituents of D.villosa are the steroidal saponins, including diosgenin which is hydrolysed from dioscin; phytosterols, including β-sitosterol and campesterol; alkaloids including dioscorin; flavan-3-ol based flavonoids; and tannins, mucilage and starch (Naskar & Mishra, 2017; Fisher, 2018). Very little conclusive evidence has been found for the use of D.villosa in any clinical studies, however diosgenin has been found to be effective in tumour cell growth inhibition and invasive capacity, protects neurones from toxicity and oxidative stress, reduction of inflammation including in rheumatoid arthritis and suppression of osteoclast production (Fisher, 2018, Romm, 2018). Diosgenin has a similar chemical structure to cholesterol and has been shown to aid cholesterol metabolism, as well as having oestrogenic properties, binding to oestrogen receptors in the brain, it is thought also to be a precursor to dehydroepiandrosterone (DHEA), although there is speculation as to whether this conversion occurs effectively in vivo (Naskar & Mishra, 2017)
Structure, function and production of the pill
Sapogenins were first examined for their similar chemical structures to cholesterol by chemist Russel Marker, who developed the 5 step Marker process of oxidative degradation in 1939 to produce progesterone from sapogenins (Mann, 2010; Djerassi, 2023). Initially the sapogenin used was sarsasapogenin, before settling on diosgenin for affordability and availability of Dioscorea spp., in recent years the primary source of diosgenin commercially is Soy beans (Ganora, 2021; Mann, 2010).
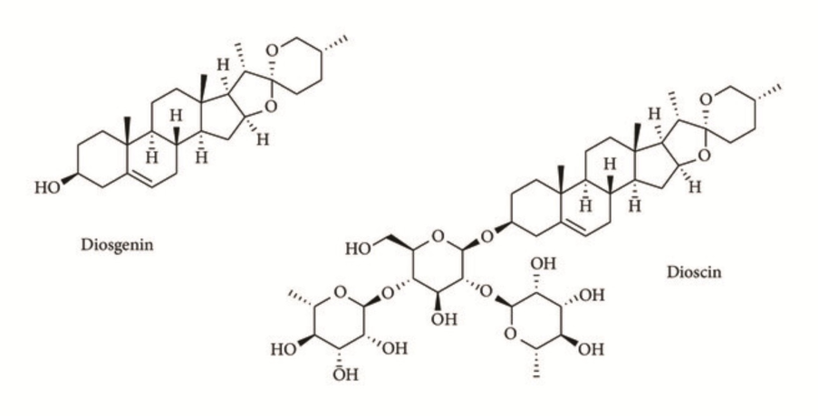
Diosgenin is a steroidal saponin, that has a steroid as it’s aglycone, the basis of its structure, it also exists in plants in its glycoside form dioscin, which has the addition of sugar units as shown in figure 1 (Ganora, 2021). Like most steroidal saponins diosgenin has a pentacyclic base structure, containing 27 carbon atoms, it has a hydroxyl group at carbon 3 and a double bond at carbons 5-6, it also contains 2 cyclic ether groups (one hexacyclic pyran and one pentacyclic furan) and 4 methyl groups (Ganora, 2021).
Figure 1 Diosgenin and Dioscin (Jesus, et al., 2016)
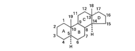
This structure is very similar to the basic structure of all steroid hormones, which have a basic 4 fused cycloalkane ring structure, containing 3 cyclohexanes and 1 cyclopentane (see figure 3), diosgenin contains this basis within its chemical structure (Djerassi, 2023; Ganora, 2021). In 1932, it was discovered that sex hormones and cortisone all shared this basic steroid structure, based around cholesterol which is metabolised by enzymes in the body to produce steroid hormones (Djerassi, 2023; Mann, 2010).
Figure 2 Steroid Skeleton (Djerassi, 2023)
The marker process illustrated in figure 3 involves the removal of pyran and furan rings of diosgenin and the addition of an ethyl ketone group from carbon 17, and a ketone group at carbon 3 to replace the hydroxyl group, as well as a moving of the double bond at C5-6 to C4-5, producing progesterone (American Chemistry Society, 1999; Djerassi, 2023). Progesterone binds to progesterone receptors in the female reproductive organs and central nervous system, this triggers gene expression within target cells and is responsible for the maintenance of the uterine endometrium, prevents ovulation, stimulates breast tissue growth (Grimm et al., 2016).
Figure 3 The conversion of diosgenin to progesterone (American Chemistry Society, 1999)
Initially progesterone and other steroid hormones produced were given to patients with a deficiency in a given hormone or an inability to produce in high enough quantities, progesterone was not orally active unless given in monumental doses and was used primarily to prevent particular cases of miscarriage (Djerassi, 2023; Mann, 2010). The discovery of more potent 19-norprogesterone (less a methyl group at carbon 19) by Maximilian Ehrenstein, precipitated the development of this same molecule from diosgenin produced progesterone by Carl Djerassi and Dr Kranz, who had taken over from Marker’s work at Syntax labs in Mexico (Djerassi, 2023; Mann, 2010). In 1951, Djerassi and Kranz went on to develop 19-norethisterone (norethrindrone) which also included an ethynyl group at carbon 17 (Djerassi, 2023; Mann, 2010). It was the most potent progesterone acting molecule yet and was orally active was patented by 1952 and a year later norethynodrel was discovered by another laboratory (Searle) with similar activity – these 2 molecules became the basis of the first ever contraceptive pills (figure 4) (Berg, 2015; Djerassi, 2023; Mann, 2010). Searle released their contraceptive pill in 1960, and diosgenin based contraceptive from Syntax was released in 1962 (Djerassi, 2023). From these 2 initial progestins, a number of other progestin molecules have been subsequently found and used in the contraceptive pill industry alongside an oestrogen analogue to maintain uterine lining and prevent break through bleeding (Berg, 2015).
Figure 4 Chemical structures of the first constituents of the pill (Mann, 2010)
Norethrindrone differs from progesterone in that the ethyl ketone group on carbon 17 is replaced with a hydroxyl group and a triple bonded acetylene group, norethynodel largely converts to norethrindrone in the gastric acid of the stomach, making norethrindrone the active chemical that binds to progesterone preceptors in the body (Djerassi, 2023; Ganora, 2021).
Pre-clinical studies and clinical trial findings
Diosgenin
Many commercial supplement suppliers claim that wild yam extract and diosgenin have progesterone activity in the body, however the human body lacks the necessary enzymes to breakdown diosgenin and convert it into progesterone, despite this it has been shown to have an oestrogenic effect, binding to hypothalamic oestrogen receptors (Jesus et al., 2016; Naskar & Mishra, 2017). Diosgenin has been shown to have a number of other clinically significant actions in trials, including;
- Numerous trials have shown diosgenin to have a considerable blood low-density-cholesterol lowering capacity, inhibiting cholesterol absorption and increasing high-density-cholesterol production (Naskar & Mishra, 2017; Patel, et al., 2012).
- Diosgenin has been clinically shown to be a potent vasorelaxant, stimulating calcium channels of arterial muscle (Naskar & Mishra, 2017; Patel, et al., 2012).
- Diosgenin inhibits T-helper cell response to allergens in the gastro-intestinal tract (Naskar & Mishra, 2017; Patel, et al., 2012).
- Studies on rats have shown diosgenin to have a hypoglycaemic effect that could be beneficial in the management of diabetes (Naskar & Mishra, 2017; Patel, et al., 2012).
Some potential side effects of diosgenin use include, constipation, urethral stricture in males due to increased oestrogen signalling, biliary colic due to increased cholesterol secretion (Naskar & Mishra, 2017).
The Contraceptive pill
In 2010 it was estimated that 100 million menstruation aged women used the contraceptive pill and has allowed many women worldwide to take control of their reproductive rights and reducing the number of unplanned or unwanted pregnancies (Mann, 2010).
Current advice from the British National Formulary (BNF) is 1 pill per day for 21 days, a 7 day intermission for withdrawal bleeding followed by another course, it should be ascertained that a woman isn’t pregnant before beginning the first course and barrier contraception should be used alongside if a course begins midcycle (BNF, 2024).
Contraindications are extensive and can be found on the BNF website – these include; atrial fibrillation, breast cancer, hepatocellular carcinoma and adenoma, hypertension, history of venous thrombosis, stroke, and smoking in those over 35 years old (BNF, 2024; NHS, 2024).
Side effects include abdominal pain, beast pain, oedema, headaches, low mood, increased weight, more rare and serious side effects include hypertension, embolism and venous thrombosis, increased risk of breast cancer and cervical cancer, although it is also associated with a decreased risk of uterine and ovarian cancers (BNF, 2024; NHS, 2024).
Conclusion
The contraceptive pill has given women choice and freedom over their reproductive capacities, which has revolutionised the lives of many and significantly reduced unwanted pregnancies worldwide. It’s roots in herbal medicine are undeniable, with diosgenin from Dioscorea spp being instrumental in its development, although diosgenin itself is not progesterone acting in the body, despite having a number of other actions and uses. Whilst side-effects can be severe from the contraceptive pill, it is undeniable that it has changed the lives of many and is a potent tool of choice for menstruating people.
References
American Chemistry Society. (1999). The “Marker Degradation” and creation of the Mexican steroid hormone industry 1938-1945. Sociedad quimica de mexico. American Chemistry Society. https://www.acs.org/content/dam/acsorg/education/whatischemistry/landmarks/progesteronesynthesis/marker-degradation-creation-of-the-mexican-steroid-industry-by-russell-marker-commemorative-booklet.pdf
Berg, E. (2015). The chemistry of the pill. ACS Central Science, 1(1), 5–7. https://doi.org/10.1021/acscentsci.5b00066
British National Formulary. (2024). Ethinylestradiol with norethisterone | NICE. NICE. https://bnf.nice.org.uk/drugs/ethinylestradiol-with-norethisterone/#patient-and-carer-advice
Djerassi, C. (2023). Standardizing pharmacology: assays and hormones (M. Parnham, J. Bruinvels, & C. P. Page, Eds.). Elsevier.
Ganora, L. (2021). Herbal constituents: foundations of phytochemistry. 2nd edition. Herbalchem Press.
Grimm, S. L., Hartig, S. M., & Edwards, D. P. (2016). Progesterone Receptor Signaling Mechanisms. Journal of Molecular Biology, 428(19), 3831–3849. https://doi.org/10.1016/j.jmb.2016.06.020
Heinrich, M., Barnes, J., Gibbons, S., & Williamson, E. M. (2004). Fundamentals of pharmacognosy and phytotherapy. Churchill Livingstone.
Jesus, M., Martins, A. P. J., Gallardo, E., & Silvestre, S. (2016). Diosgenin: Recent Highlights on Pharmacology and Analytical Methodology. Journal of Analytical Methods in Chemistry, 2016, 1–16. https://doi.org/10.1155/2016/4156293
Mann, J. (2010). The contraceptive pill: the birth of the pill. Royal Society of Chemistry; Chemistry World. https://www.rsc.org/images/The%20Contraceptive%20Pill_tcm18-189796.pdf
Naskar, K. K., & Mishra, O. (2017). Action of diosgenin and homoeopathic pathogenesis of Dioscorea villosa. Indian Journal of Research in Homoeopathy, 11(1), 5. https://doi.org/10.4103/0974-7168.200845
NHS. (2024). Side effects and risks of the combined pill. Nhs.uk. https://www.nhs.uk/contraception/methods-of-contraception/combined-pill/side-effects/
Patel, K., Gadewar, M., Tahilyani, V., & Patel, D. K. (2012). A review on pharmacological and analytical aspects of diosgenin: a concise report. Natural Products and Bioprospecting, 2(2), 46–52. https://doi.org/10.1007/s13659-012-0014-3
Romm, A. J. (2018). Botanical medicine for women’s health. St. Louis, Missouri Elsevier.
Royal Botanic Gardens Kew. (2019). Yams: A lifeline for millions | Kew. Www.kew.org. https://www.kew.org/read-and-watch/yams-a-lifeline-for-millions
Royal Botanic Gardens Kew. (2024). Dioscorea villosa L. | Plants of the World Online | Kew Science. Plants of the World Online. https://powo.science.kew.org/taxon/urn:lsid:ipni.org:names:318778-1
Thomsen, M. (2022). Phytotherapy desk reference (6th ed.). Aeon Books.
Figures
American Chemistry Society. (1999). The “Marker Degradation” and creation of the Mexican steroid hormone industry 1938-1945. Sociedad quimica de mexico. American Chemistry Society.
Djerassi, C. (2023). Standardizing pharmacology: assays and hormones (M. Parnham, J. Bruinvels, & C. P. Page, Eds.). Elsevier.
Mann, J. (2010). The contraceptive pill: the birth of the pill. Royal Society of Chemistry; Chemistry World.
Jesus, M., Martins, A. P. J., Gallardo, E., & Silvestre, S. (2016). Diosgenin: Recent Highlights on Pharmacology and Analytical Methodology. Journal of Analytical Methods in Chemistry, 2016, 1–16.





